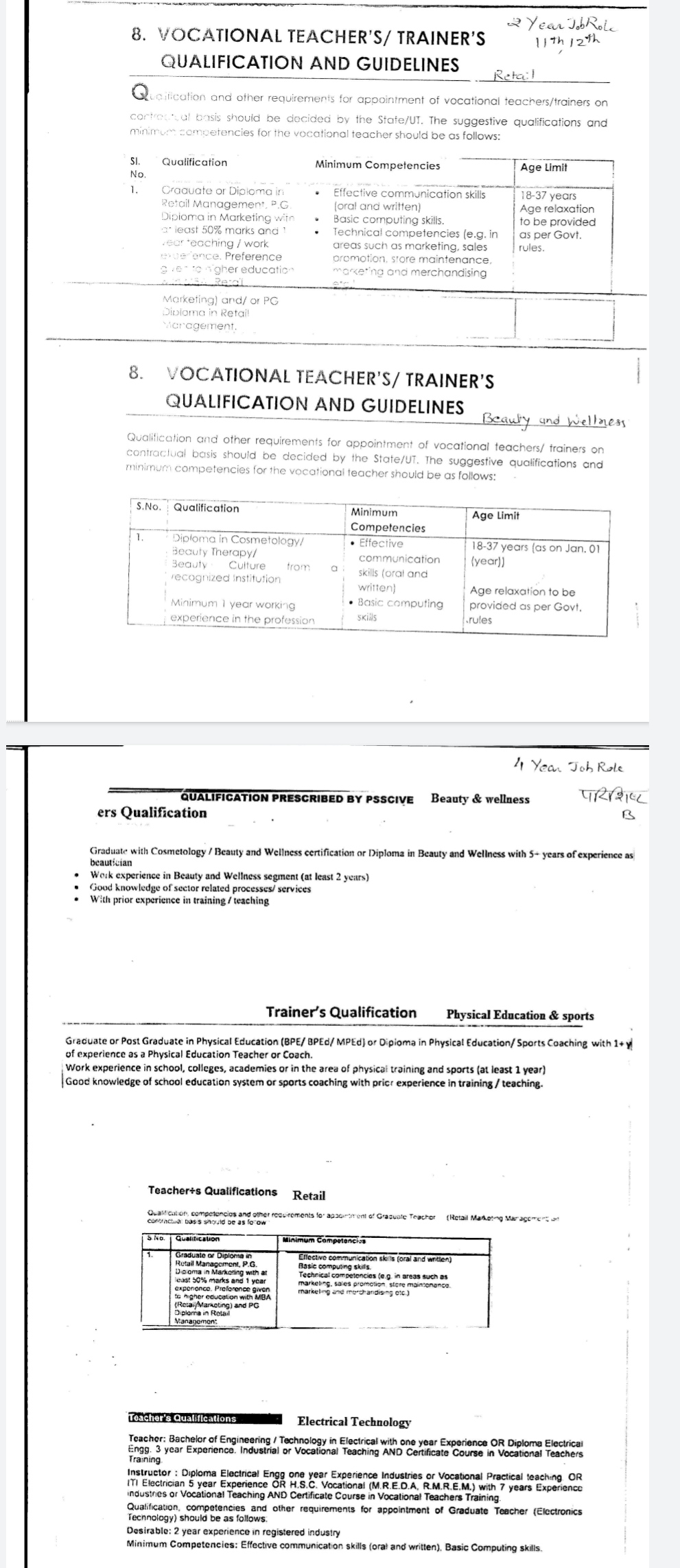
Job MP 1200 School New Vocational Education guest faculty
मध्य प्रदेश नवीन व्यवसायिक शिक्षा योजना के अंतर्गत 1200 विद्यालयों में विभिन्न पदों के लिए आवेदन
2021 की भर्ती की जानकारी हेतु यहां क्लिक करें
ITI,Security guard, beauty and wellness, agriculture, physical education sport, Health care, electrical technology, and other post
www.newsjobmp.com
यदि आवेदन फॉर्म डाउनलोड नहीं होता तो आप व्यक्तिगत रूप से A4 साइज के पेपर पर अपना आवेदन पत्र बना सकते हैं|
आवेदन से संबंधित किसी भी प्रकार की सहायता के लिए दिए गए नंबर पर केवल हाट्सएप मैसेज कर सकते एवं अपने व्हाट्सएप नंबर पर सरकारी एवं प्राइवेट भर्तियों की जानकारी प्राप्त करने के लिए नीचे दिए गए नंबर पर व्हाट्सएप में जॉब लिखकर सेंड करें
+917247520304 व्हाट्सएप नंबर पर मैसेज भेज सकते हैं
आवेदन से संबंधित किसी भी प्रकार की सहायता के लिए दिए गए नंबर पर केवल हाट्सएप मैसेज कर सकते एवं अपने व्हाट्सएप नंबर पर सरकारी एवं प्राइवेट भर्तियों की जानकारी प्राप्त करने के लिए नीचे दिए गए नंबर पर व्हाट्सएप में जॉब लिखकर सेंड करें
+917247520304 व्हाट्सएप नंबर पर मैसेज भेज सकते हैं






